Google News

Lại thêm một bài toán giải mật khẩu wifi "chùa" khiến sinh viên "hại não"

Lại thêm một bài toán giải mật khẩu wifi "chùa" khiến sinh viên "hại não"
HHTO - Canteen của trường Đại học Hàng không và Du hành vũ trụ Nam Kinh yêu cầu sinh viên muốn sử dụng wifi phải giải 1 bài Toán để nhận được mật khẩu. Tuy nhiên, hầu hết mọi người đều không làm được dù đây là một bài toán không quá khó.

Mới đây, trên một diễn đàn mạng xã hội dành cho sinh viên, xuất hiện bài viết nói về việc giải bài toán để có mật khẩu wifi. Theo chủ nhân bài viết, đây là bài toán xuất hiện tại căng tin Đại học Hàng không và Du hành vũ trụ Nam Kinh (ngôi trường hàng đầu ở Trung Quốc).

Bài toán khiến không ít sinh viên bó tay.
Bài toán khiến không ít sinh viên bó tay.

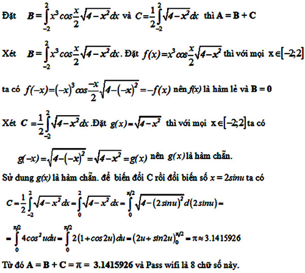
Trên tấm bảng có ghi: “Mật khẩu wifi là 8 chữ số đầu tiên của đáp án bài Toán dưới đây”. Tuy nhiên, rất nhiều sinh viên đã bó tay và chịu tốn tiền dùng 3G sau khi thấy bài toán. Theo đánh giá chung, bài toán này là một bài toán đơn giản của Toán cao cấp.

Đáp án và cách giải của thầy Trần Phương trên báo VnExpress.
Đáp án và cách giải của thầy Trần Phương trên báo VnExpress.

Ngay sau khi đăng tải trên một diễn đàn sinh viên, đông đảo sinh viên theo học khối tự nhiên đã cùng nhau giải bài toán này. Tuy nhiên, rất nhiều người đánh giá đây là một bài toán khó nhằn, không thể giải trong phút chốc.

Đáp án được một sinh viên đăng tải. Nguồn: Weibo.
Đáp án được một sinh viên đăng tải. Nguồn: Weibo.

“Có lẽ các bạn sinh viên trường này lần đầu đến nên chụp lại xong về nhà “ngâm cứu” dần dần. Nếu lười thì thôi dùng 3G cho nhanh“, tài khoản Đ.V.A viết.

“Đã ăn xin còn đòi xôi gấc, các bạn phải giải bài toán để có wifi free dùng. Mình thấy chuyện này bình thường sau các bạn cứ nói làm khó nhau vậy!”, tài khoản M.K viết.

“May các trường ở Việt Nam chưa có trường nào phải giải phương trình loằng ngoằng như vậy. Mình học khối xã hội chắc hỏi năm sinh hay gì đó của nhà bác học nhỉ?“, tài khoản V.H bày tỏ quan điểm.